|
|
Condition Monitoring of Steam Turbines by Performance Analysis
Author : Ray Beebe, FIEAust CPEng
Monash University Gippsland School of Engineering
Churchill, Victoria 3842 Australia
This paper was originally presented at the 52nd Conference of the Machinery Failure Prevention Society, Virginia Beach, April 1998
Abstract Steam turbines today are required to run for well beyond their intended lifetimes. Opening up machines for inspection is expensive, and owners need to consider all relevant information in making the decision. Problems in steam turbines which reduce machine efficiency and output, such as deposits on blades and erosion of internal clearances, can be detected and monitored using condition monitoring by performance analysis. The paper outlines with some examples some condition monitoring techniques which have contributed to running some large machines for up to 17 years without opening high pressure sections.
In machines with an HP-IP opposed-flow casing, increased N2 packing internal steam leakage can occur from the high pressure turbine section into the intermediate pressure section has a large effect on output and efficiency. The application of a simple test method for estimating this leakage explained observed poor performance on two sets.
Key Words: condition monitoring; optimisation; plant performance; predictive maintenance; steam turbines; testing; N2 packing
INTRODUCTION
Steam turbine generators are reliable machines, and often operate continuously for many months. Such operation at steady outputs can lead to deposition from the steam on the fixed and moving blades. Deposits cause output and efficiency to drop, by reducing the efficiency of energy transfer and eventually restricting steam flow. This occurs less on sets which vary in load, as they undergo a regular bladewashing effect.
Where a machine is taken from service, coastdown and running up through shaft bending critical speeds can allow momentary rubbing at the internal seals. The resulting enlarged flow area can reduce the internal efficiency, such that less energy is extracted from the steam. This also results from internal leakage within a casing which allows steam to bypass blading stages. These effects are particularly evident on the turbine design with both High Pressure and Intermediate Pressure sections in the one casing, with flow in opposite directions.
Retractable packings have been developed by manufacturers and after-market suppliers. These avoid shaft rubbing as they do not close into their normal clearances until the machine is near operating speed, having passed through the bending critical speed or speeds.
Vibration analysis can detect the occurrence of such shaft rubbing and other conditions of the rotor line, but cannot detect the extent of internal wear or deposition. It is well suited for other quite different failure modes, such as when blades or parts of them come off and cause consequential damage. As with the application of all condition monitoring, the rule is to choose techniques to match the likely failure/wearout modes. As steam turbines are critical machines, all the main techniques have their place.
Performance analysis can be applied to most machines, rotating and stationary. It is the one condition monitoring technique which allows the optimum time for restorative maintenance to be calculated, where the deterioration results in increased fuel consumption, or in reduced output, or both. (Beebe 1998)
For some plant items, it is possible to use the normal plant instruments and data processing system to determine condition parameters. (Beebe 1998a). In the case of steam turbines, a more refined method using test quality instruments is needed to give warning well in advance of changes evident from permanent instrumentation systems. (Groves 1996).
This paper describes some performance tests used for monitoring turbine condition and their application.
MAINTENANCE OF LARGE STEAM TURBINE GENERATORS
Large steam turbines have usually between two and five individual casings. Manufacturers vary in their recommendations for opening up a casing for inspection and refurbishment. (Tezel, 1989). Manufacturers have a vested interest in supply of spare parts, and therefore cannot be expected to be unbiased in their recommendations. The author well remembers walking through the works of one manufacturer and seeing several HP casings in for overhaul. The accompanying engineer said "off the record" that most of them would not justify the work!
An outage for such work on one casing may take several weeks, and cost millions of dollars. In making this decision, plant owners need all the relevant information. Condition monitoring by performance testing has been used to extend time between opening of casings to up to 17 years, making its cost/benefits very favourable. (Beebe 1995, Vetter et al 1989). The overhaul decision should not be made unless there is a compelling technical or economic reason for opening a casing. A current EPRI project is aimed at extending the accepted interval between overhauls (McCloskey et al 1995).
It should be accepted that an outage after such a long time in service will probably take longer than if scheduled more frequently, as distortion is likely to have occurred, and parts such as casing studs will probably need replacement (Coade 1993). Once a casing is opened and clearance measurements made, it is possible to estimate the performance improvements achievable by refurbishment and so justify the expenditure (Kuehn 1993; Sanders 1989). However, it is clearly preferable to try and determine the internal condition by testing, and use this information to help make the decision as to the extent of overhaul.
In Table 1, the main wearout problems with steam turbines are summarised, together with an outline of how how condition monitoring can detect them.
| Part affected | Wearout problem | Comments, suitable condition monitoring |
| Blading | Erosion by solid particles(also erosion by water droplets on latter LP blades) | Usually occurs gradually, worst at inlet blading. Less usual on sets with drum boilers and/or sub-critical inlet steam conditions, or with bypass systems. Performance analysis detects. |
| Blading | Parts breaking off | Usually sudden. Vibration analysis and Performance analysis detects. |
| Bearings | Scoring damage to whitemetal | Performance analysis, vibration analysis, wear particles in oil (but representative sampling at each bearing is rare). |
| Rotors | Rubbing, temporary unbalance, cracking, misalignment | Vibration analysis, and off-line, some NDT (not detailed in this paper) |
| Valve spindles Shaft and interstage glands (seals) Casing joints LP manhole gaskets Internal steam piping and fittings | Leakage due to wear, distortion, breakage | Likely to occur gradually, but can be sudden. Performance analysis detects. Effect of seal wear is relatively greater for HP blading. For impulse machines, the relative lost output for each 25µm increase above design clearance of about 600µm is:
- HP: blade tips, 5kW; interstage seals, 6kW per stage; end glands 15 to 25kW.
- IP: blade tips, 2.5kW; interstage 2kW per stage; end glands 5kW
- LP: blade tips and interstage, 1.5kW per stage; end glands 2kW.
For reaction blading, the effect will be greater. |
| Steam valve strainers Valve spindles Blading | Deposits (more prevalent with base loaded sets as cyclic loading tends to have a blade washing effect). | Likely to occur gradually, mostly in areas around 260°C. Some on-load blade washing occurs with forced steam cooling. Performance analysis detects. Blade surface roughness has biggest effect at higher steam pressures. One case gave 17% drop in output from deposits varying between 250 to 2300 µm in thickness. Permissible roughness for LP blading can be 100× coarser than for HP blading. One test with surface finish equivalent to 500 grit emery paper caused 5% to 7% less efficiency in HP blading, about 2% in LP. |
| Generator rotor, stator | Insulation faults | Electrical plant testing (several techniques (not detailed in this paper) |
| Condenser | Air inleakageTube fouling | Performance analysis (not detailed in this paper) |
| Feedwater heaters | Air inleakage, tube fouling by scale or oil | Performance analysis (not detailed in this paper) |
| Valves - HP, IP bypass, etc | Leakage | Performance analysis. Acoustic leakage detection (not detailed in this paper) is also possible. |
OVERALL CONDITION INDICATOR
The basic method of monitoring steam turbine internal condition is the Valves Wide Open test (ASME 1985). Essentially, the generator is used as a transducer to measure the power output of the turbine at set datum conditions. Here are the details for a typical large reheat condensing set, the standard type in nearly all fossil-fired power stations:
- The inlet area for steam flow is set to datum by opening the steam control (ie governor) valves fully. This should be verified by direct measurement at the valve power servos, rather than relying on control room indicators. Fully open is the only truly repeatable setting.
- The temperatures of main inlet and hot reheat steam are set as close to datum as can be achieved. This is usually the same as the rated values.
- The inlet pressure is set to the datum value. As most turbines have capacity beyond their nameplate rating, the standard inlet steam pressure may need to be below the rated value if undesirably high outputs would result.
- Condenser pressure is largely a function of seasonal conditions and weather, and is usually taken at the best attainable on the day.
- Extractions to feedwater heaters should be all fully open. If feedwater heater unreliability means that some heaters are out of service for long periods, that condition may have to be used as datum, unless a method of allowing for this effect on turbine output can be derived.
Test readings during as test run of an hour or so are carefully made using calibrated test instruments, with two separate measurements of each point. Readings of test transducers can be made manually, but it is now usual to use a data logger coupled with a computer. With the exception of some minor flows read from plant instruments and used only in correction factors, test measurements of flow are not made. This simplifies the test considerably and minimises the cost considerably compared with the full heat rate test used for the initial acceptance tests for guarantee checks.
The generator MW output over about an hour of steady operation is read using test instruments, and corrected for any variations from the datum terminal conditions. For example, if the condenser pressure on the test is higher than the datum, then the turbine output will be less that which would be expected at datum condenser pressure. Corrections are usually provided by the manufacturer for use in the initial acceptance tests but can be obtained using cycle modelling programs or from special tests. With the instrument calibration information available, the calculations are usually performed immediately following the tests.
Significant changes are often small, and it is unlikely that they can be detected by the permanent instrumentation and data processing systems fitted for operation and monitoring (Groves, 1996). This may be possible with highly stable transducers of recent design, or with adequate calibration arrangements.
EXAMPLE OF VWO TESTS
Tests run on a turbine generator some years apart and at different seasons gave these results:
| Test data | TEST A | Correction factor | | TEST B | Correction factor |
| Generator Output MW | 355.8 | | | 349.7 | |
| Steam Pressure - Main kPa | 12155 | 1.02285 | | 12255 | 1.02053 |
| Steam Temperature - Main °C | 529.5 | 0.99832 | | 526.7 | 0.99773 |
| Steam Temperature - Reheat °C | 525.8 | 1.0101 | | 539.5 | 0.99873 |
| Reheater Pressure Drop % | 6.76 | 0.99814 | | 6.03 | 0.99633 |
| Condenser Pressure - kPa | 9.34 | 1.01225 | | 12.44 | 1.03615 |
| Generator Power Factor | 0.923 | 1.00012 | | 0.945 | 1.00064 |
| Steam Temp. Cont. Spray - Main kg/s | 6.5 | 0.99889 | | 24.6 | 0.99584 |
| Steam Temp. Control Spray - Reheater kg/s | 0 | 1 | | 0 | 1 |
| Final Feedwater Temperature °C | 234.9 | 1.0005 | | 230.5 | 0.98957 |
| Combined correction factor | | 1.04741 | | | 1.03521 |
| Corrected VWO Output MW | 372.7 | | | 362 | |
From experience, the reduction observed is significant. Further tests would be performed to ascertain parameters of condition of individual machine components which can be separately opened. Data for these is often gathered concurrently with the VWO tests.
SECTION PARAMETERS
Measurement of temperatures and pressures at available points along the turbine enable condition of individual sections to be assessed. If the VWO Output has reduced, then the section or sections causing the reduction can be localised. Table 2 gives some of the parameters used and their application. The following sections give examples of some of these in use.
| Parameter | Comments |
| Steam strainer pressure drop | Best measured with a differential pressure transducer rather than an upstream and a downstream pair. An increase indicates blockage, probably from metal particles from boiler tube welding repairs. |
| Section enthalpy drop efficiency (superheated steam sections) | Calculated using steam tables computer program. A drop indicates blade fouling, or erosion damage. |
| Section pressure ratios | Stage pressures can be corrected to standard inlet pressure, but any error in measuring it is applied to all the stage pressures. Ratios use only the outlet and inlet pressures of each section. Changes show up erosion or deposition. |
| Corrected First Stage pressure | At VWO, proportional to steam flow through the turbine, indicates first stage condition. Increase points to upstream erosion, or downstream blockage, and vice versa. |
| Extraction temperatures to feedheaters in superheated sections | According to design, a higher than expected steam inlet temperature may indicate relative internal bypassing leakage in the turbine upstream of the extraction point.. |
| Extraction temperatures to feedheaters in saturated steam sections | Increases above saturation temperature indicate leakage of steam from a stage upstream of the extraction point. |
| Drain line temperatures from casings, or from shaft seal (gland) sections | Where available, these may indicate relative leakage, according to design. A similar approach can be used for points before and after pipe junctions of two streams of different temperatures. Pipe surface temperatures are sufficient for repeatable assessment. |
| Estimated N2 packing leakage (on turbines with combined HP-IP casings) | Test by varying relative inlet steam temperatures and observing effect on IP enthalpy drop efficiency. |
Table 2: Some parameters of condition of individual turbine sections
ENTHALPY DROP EFFICIENCY TESTS
A main condition indicator for a turbine casing, or blading section, is the enthalpy drop efficiency - the actual enthalpy drop divided by the isentropic enthalpy drop. Figure 1 illustrates this parameter on a section of the Mollier chart. It is usually between 85% and 90%, with typical repeatability for HP casings, ±0.9%; IP casings ±1.0%.
This can only be determined for the superheated steam sections. For assessment across a turbine section within a casing, stage conditions are usually available in steam extraction lines to feedwater heaters. Naturally, these cannot be used for temperature measurement if the associated feedwater heater is out of service.
In the two test series given earlier, the corresponding enthalpy drop efficiencies were:
| | Test A | Test B |
| High Pressure casing (from Main Stop Valve inlet) | 85.5% | 83.8% |
| Intermediate Pressure casing (from Reheat Stop Valve inlet) | 88.2% | 88.3% |
Figure 1: Section of Mollier Chart showing expansion line. P1, T1 etc are
steam pressure and temperature measured at points of extraction flows in superheated sections
A relative deterioration in the HP casing is evident. Further study would be made of any other parameters available in this area.
USES OF THE EXPANSION LINE
The plot of the expansion line as shown schematically in Figure 1 is also useful in condition assessment. If a measured stage point does not fall on the line as expected, bypassing of blading would be deduced. Here are two examples.
Reaction turbine HP casing dummy piston leakage. A 200MW machine with a single flow HP casing has a dummy piston upon which steam pressure is arranged to act to counteract the axial thrust generated by steam forces on the blading. Steam leaking past the first section of the labyrinth seals around the piston circumference is led via internal piping to join the steam flow from the blading at the first extraction point.
As this leakage steam is at a higher temperature then the extraction steam, relative leakage is shown by the temperature difference between the mixture and the normal extraction temperature. On one of six machines of this design, even when new this difference was as high as 60°C. The extraction steam temperature can be estimated closely enough from the steam expansion line plotted on a Mollier Chart. To remove the effect of any blading deterioration of stages upstream, a permanent thermocouple was arranged to fit through the High Pressure outer casing to measure the true stage temperature.
LP casing internal steam bypassing. A similar approach can be applied in the Low Pressure casings. Here the steam at most if not all extractions to feedheaters is usually saturated, so the temperature at a stage should be that of saturation for the corresponding pressure. Superheated steam indicates internal steam leakage, with steam from an upstream source bypassing the blading. On a 500MW turbine, a burnt area observed on one LP hood was deduced to be due to failure of one of the large expansion bellows in the inlet piping. As test results showed a 27MW drop in VWO Output, closer study revealed that steam was entering an LP feedheater at 256°C, rather than the 95°C expected.
It was deduced from careful study of construction details from available drawings that the second bellows had failed. This conclusion was confirmed by the manufacturer.
USE OF STAGE PRESSURES
Except for the first stage of nozzle-governed turbines, and the last stage, the pressures at stages along a steam turbine are closely proportional to steam flow, and therefore to load at datum conditions.
During starting up of a 200MW turbine, great difficulty was experienced with extremely high in-leakage into its condenser. Despite all the air removal pumps running, condenser pressure was still well above the normal. During loading, the problem disappeared - above 40% load.
By examining the stage pressure vs load curves, it was noticed that the pressure to LP feedheater 2 was below atmospheric until above 40% load, when it becomes positive. The air leak was therefore somewhere in the turbine system connected to that point. Meticulous study of piping drawings and inspection of the machine revealed a sprung joint in a flange joint in the leakoff piping from a shaft end gland. This piping led to the LP2 feedheater.
Such investigations are not necessarily easy - few drawings may be available, the piping and connections may be under lagging, access is required to areas of the machine which are probably dark, noisy, certainly hot, and special staging may need to be built.
INTERNAL LEAKAGE OF COMBINED HP/IP CASINGS
Many large turbines of US design have a combined High Pressure and Intermediate Pressure casing with steam flows in opposing directions. The central gland between them is commonly known as the N2 packing. In good condition, there is leakage of about 1% of main steam inlet flow from HP to IP sections through this gland. Any increase means that some of the steam initially supplied to the turbine does not pass through the HP blading, then through the reheater, but instead directly to the IP blading.
As this gland is near the centre of the rotor span, rotor deflection during starting up and coastdown operation can cause rubbing, and thereby increase the clearances. Leakage has a dramatic effect on turbine efficiency, as the leakage flow effectively circulates in a non-reheat cycle of lower efficiency. Typically, leakage of 1% of initial steam supplied to the turbine results in an output reduction of 0.3% and efficiency reduction of about 0.16%.
Leakage flow enters after the steam temperature into the IP casing is measured, and because the leakage steam is at a lower temperature than hot reheat steam, the IP outlet steam will be at a lower temperature and hence enthalpy. The result is to give an incorrect high value of IP enthalpy drop efficiency. Therefore, in routine testing of such turbines, if an increase in IP enthalpy drop efficiency is found, then increased N2 gland leakage should be suspected.
The leakage steam flow cannot be measured, but there are two ways of estimating it to sufficient accuracy for routine condition monitoring: Cotton (1993) and Booth (1984) and later EPRI publications. The first method requires the running of IP enthalpy drop efficiency tests before and after opening the packing blowdown valve, where fitted. A modification which gives better accuracy is to install a bypass line around the packing blowdown valve, with a flowmeter.
The alternative method requires no plant modifications. Tests are run where some differences between main steam and reheat steam temperatures are arranged. This is readily done at Valves Wide Open by holding the hot reheat steam temperature constant while reducing the main steam inlet temperature. Three steps are suggested. At each test, the IP efficiency is calculated, and plotted against two assumed leakage flows. The intercept enables a reasonable estimate of the leakage flow. A critical assessment of the accuracy is given in Haynes, et al (1995).
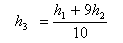
For the first test, at rated conditions, the enthalpy of the leakage steam is estimated at first stage pressure from a plot of the expansion line. The steam flow through the IP blading is assumed constant throughout the test series (as it is the sum of hot reheat flow and N2 leakage under all conditions). The enthalpy of the steam entering these blades can be calculated by heat balance for both the initial conditions and for an assumed 10% leakage flow:
| where: | h3 = enthalpy of steam into Intermediate Pressure blading
h1 = enthalpy of steam leaking into IP blading through the N2 gland
h2 = enthalpy of hot reheat steam entering the IP turbine. |
The IP efficiency is plotted at datum and 10% leakage conditions. When these points are joined, the intersection of the lines gives a reasonable estimate of the actual leakage flow (Figure 2).
Figure 2: schematic plot of results for N2 gland leakage: x is estimated flow
EXAMPLE OF N2 GLAND LEAKAGE ASSESSMENT
When new, two large turbines of the combined HP/IP casing type were found to have a thermal efficiency well below that expected. The test procedures, particularly the primary flow measurement, were closely examined, but no discrepancy could be found. In operation, there was difficulty in holding hot reheat temperature down to the design values, and an extra desuperheating temperature control spray station was added to the boiler. A significant portion of reheater tubing was also removed.
Some years later, routine tests were arranged to include the second approach described above. The estimated N2 gland leakage flow was found to be 4 to 5 times the design value which had been used in calculating the results of the original thermal efficiency tests. This was consistent with the reduced thermal efficiency and reheater problems. Inspection at the first overhaul confirmed that the N2 gland clearances were larger than design, as predicted by the tests, and had apparently been so since new.
REFERENCES AND FURTHER READING
ASME (1985) Simplified procedures for routine performance tests of steam turbines ANSI PTC 6S report 1974, reaffirmed 1985
Beebe, R (1995) Machine condition monitoring MCM Consultants. ISBN 0 646 250884
Beebe, R (1998) Condition monitoring by performance analysis to optimise time for overhaul of centrifugal pumps MFPT Society 52nd Annual Meeting
Beebe, R (1998a) Predictive maintenance by performance monitoring of plant MFPT Society 52nd Annual Meeting
Booth, J A & Kautzmann, D E (1984) Estimating the leakage from HP to IP turbine sections EPRI Plant Performance Monitoring Conference.
Coade, R W and Nowak, S (1993) Remaining life study of a 350MW HP/IP turbine Conference on pressure vessels and pipework, Sydney
Cotton, K C (1993) Evaluating and improving steam turbine performance Cotton Fact Inc ISBN 0 963 995502
Groves, K (1996) Turbine steam path monitoring using plant DPA system unpublished degree major project Monash University
Haynes, C J; Medina, C A; Fitzgerald, M A (1995) The measurement of HP-IP leakage flow: the largest source of uncertainty in code tests of low pressure turbines PWR-Vol 28 IEEE-ASME Joint Power Generation Conference
Kuehn, S E (!993) Steam turbine technology keeps pace with demands Power Engineering
Leyzerovich, L (1997) Large Power Steam Turbines: Design and Operation Vol 2 PennWell ISBN 0 87814 716 0
McCloskey, T H; Pollard, M A and Schimmels, J N (1995) Development and implementation of a turbine-generator outage interval extension strategy PWR-Vol 28 ASME/IEEE International Joint Power Generation Conference
Sanders, W P (1989) Efficiency Audit of the turbine steam path, classifying damage and estimating unit losses ASME/IEEE International Joint Power Generation Conference
Tezel, F H et al (1989) Maintenance scheduling for steam turbine generators ASME/IEEE International Joint Power Generation Conference
Vetter, H & Schwiemler, G (1989) First turbine inspection after a 15-year operating period VGB KRAFTWERKSTECHNIK.
Copyright 1996-2009, The Plant Maintenance Resource Center . All Rights Reserved.
Revised: Thursday, 08-Oct-2015 11:54:48 AEDT
Privacy Policy
|
|